
Crédito, Getty Images
- Author, Ben Chu e Tom Edgington
- Role, BBC Verify
Mas como exatamente essas alíquotas – que, na prática, funcionam como impostos sobre importações – foram calculadas?
Da equação ‘complexa’ à lógica do déficit
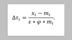
Depois do pronunciamento, contudo, a administração divulgou o que parecia ser uma fórmula matemática bastante complexa para explicar como os técnicos haviam chegado aos percentuais aplicados a cada país.

Crédito, Casa Branca
Destrinchando-se a equação, contudo, percebe-se que ela se resume a um cálculo simples: basta pegar o déficit comercial dos EUA em bens com um determinado país, dividi-lo pelo total de importações de bens desse país e, em seguida, dividir esse valor por dois.
O déficit comercial ocorre quando um país compra (importa) mais produtos de outros países do que vende (exporta) para eles.
É o acontece, por exemplo, na relação comercial que os EUA têm atualmente com a China. A diferença entre o que os americanos compram em produtos chineses e o que vendem para o país asiático é de US$ 295 bilhões (aproximadamente R$ 1,65 trilhão).
O total de bens importados da China é de US$ 440 bilhões (cerca de R$ 2,46 trilhões).
Dividindo 295 por 440, obtém-se 67%, que, ao ser dividido por dois e arredondado, resulta em 34%. Assim, essa foi a tarifa imposta à China.
Da mesma forma, ao aplicar essa fórmula à União Europeia, o cálculo da Casa Branca levou a uma tarifa de 20%.

As tarifas de Trump são ‘recíprocas’?
Muitos analistas destacaram que essas tarifas não são recíprocas.
Uma tarifa recíproca significaria que ela foi definida com base no que os países já cobram dos EUA, incluindo tarifas existentes e outras barreiras comerciais que aumentam os custos de importação, como regulamentações.
No entanto, o documento oficial da Casa Branca sobre a metodologia deixa claro que o cálculo não foi feito para todos os países que foram submetidos às tarifas.
Em vez disso, a alíquota foi determinada com o objetivo de eliminar o déficit comercial dos EUA com cada país.
Trump, porém, se desviou da fórmula ao impor tarifas até mesmo a países que compram mais produtos dos EUA do que vendem para eles.
É o caso do Reino Unido, por exemplo, país com o qual os EUA não têm um déficit comercial comercial. Ainda assim, o país foi afetado por uma tarifa de 10%. O mesmo aconteceu com o Brasil.
No total, mais de 100 países estão sujeitos ao novo regime de tarifas.
‘Impactos mais amplos’
Trump acredita que os EUA estão em desvantagem no comércio global. Na sua visão, outros países inundam o mercado americano com produtos baratos, prejudicando as empresas locais e eliminando empregos.
Ao mesmo tempo, esses países impõem barreiras que tornam os produtos dos EUA menos competitivos no exterior.
Com as tarifas, Trump espera eliminar os déficits comerciais, revitalizar a indústria americana e proteger empregos.

Crédito, Reuters
Mas será que esse novo regime de tarifas atingirá o resultado desejado?
A BBC Verify conversou com diversos economistas, e a opinião predominante é de que, embora as tarifas possam diminuir o déficit comercial entre os EUA e determinados países, elas não reduzirão o déficit geral com o restante do mundo.
“Sim, isso reduzirá os déficits comerciais bilaterais entre os EUA e esses países. Mas, obviamente, haverá muitos impactos mais amplos que não são capturados nesse cálculo”, afirma o professor Jonathan Portes, do King’s College, em Londres.
Isso ocorre porque o déficit geral existente dos EUA não é causado apenas por barreiras comerciais, mas também pela forma como a economia americana funciona.
Os americanos gastam e investem mais do que ganham, por exemplo, e essa diferença faz com que os EUA comprem mais do que vendem ao mundo.
Enquanto essa dinâmica existir, o país pode continuar com déficit, mesmo com o aumento das tarifas sobre seus parceiros comerciais globais.
Além disso, há déficits comerciais que existem por razões que vão muito além de tarifas, como, por exemplo, a facilidade e custo-benefício de se comprar alimentos produzidos a menor custo em determinadas regiões.
“A fórmula foi feita de forma a justificar a cobrança de tarifas sobre países com os quais os EUA têm um déficit comercial. Não há uma justificativa econômica para isso, e isso custará caro para a economia global”, avalia Thomas Sampson, da London School of Economics.
Fonte.:BBC NEWS BRASIL


